Examples

SkyPy implements models for the properties of various astrophysical objects and a command-line script to run simulation pipelines. In the examples below we demonstrate the usage of some of these models in both simple python scripts and configuration files for more complex simulation pipelines.

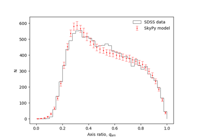
Galaxies

Galaxy properties including morphology, luminosity and redshift distributions.

Gallery generated by Sphinx-Gallery